新聞中心
聯系我們
手 機:19279864570
郵 箱:40045692@qq.com
Q Q:40045692
地 址:上海市奉賢區南橋鎮國順路936號5幢
做塑料阻燃配方設計,真的有那么難嗎?
????????前幾天,一位朋友老王跟我嘮嗑兒,聊到家里的小孩剛剛進入國內某知名塑料改性公司從事阻燃方向改性配方設計工作。初入職場的小王,總是抱怨感覺要做完美的阻燃塑料配方設計,有那么一點點“難”。

????????其實,日常生活中我們會遇到很多的塑料產品,他們大部分采用的樹脂都屬于易燃或可燃材料。

????????為了減少和降低聚合物燃燒引起的經濟損失和人員傷亡,通常我們需要對塑料產品進行阻燃改性處理。所謂阻燃,實質上就是延緩、抑制燃燒的傳播,減少熱引燃出現的頻率。
????????阻燃處理方法,一種是在合成樹脂時選用含有鹵、磷、氮等阻燃元素的原料,從而使樹脂本身具有阻燃性能,即本質阻燃,但由于阻燃元素的含有量通常不會太多,因而阻燃效果有限;另一種簡單易行的方法則是在樹脂中直接加入阻燃劑。

本質阻燃含磷共聚酯合成示意圖(歐育湘 教授)
????????材料的燃燒特性與材料的比熱容、熱導率、熱分解溫度、熱分解產物、燃燒熱等都有很大的關系。下面我來跟大家分享下塑料改性如何選擇阻燃劑以及添加量的問題。
????????首先,針對改性塑料阻燃,基本以添加型阻燃劑為主,主要因為其具有配方靈活,產品種類多樣的特點。因此,選擇合適的阻燃劑也就成了比較重要的問題。

????????通常,可以用四步法來完成。
????????第一步:確認是何種材料:PP / PA6 / PA66 / PC / ABS等。
????????第二步:阻燃等級的確認:5VA,5VB,V0,V1,V2,HB,是否可以滴落、氧指數的要求。
????????第三步:是否有無鹵的要求。(鹵素含量<500ppm,還是=0?)
????????第四步:除阻燃性能外,其他性能的要求,如力學性能 、電氣特殊性能等。

????????下表是比較常見改性材料常用阻燃劑。當然,除了表格中列出的,許多新的磷氮系阻燃劑都已經被開發出來或正在開發中。雖然很多新產品有著各種各樣的問題,但是隨著研究人員的研究不斷深入,我們相信這些新產品會很快應用于工業生產中。
????????了解常用的阻燃改性添加劑之后,我們再來聊聊配方設計中阻燃劑的添加量,一般可以依據已有的實驗數據來確定。通常認為,氧指數在22-27之間屬于自熄性材料,能在火焰中燃燒,但離火自熄。
????????氧指數
????????氧指數指的是剛好維持某塑料材料燃燒所需氧/氮混合氣體中最低氧含量的百分數,所以氧指數也被稱為極限氧指數。氧指數越小,說明這種塑料材料更易燃,反之則不易燃燒。空氣中的氧含量維持在21%左右,所以通常認為大于22%的才具有阻燃性。
????????下表是各塑料達到自熄時阻燃元素的含量。

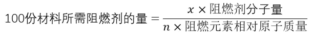
????????根據表格中阻燃元素的含量與離火自熄的關系,我們可以推算阻燃劑的用量。式中,x為上表中阻燃元素的含量值;n為阻燃元素的個數。

????????舉個例子來說:不飽和聚酯玻璃鋼阻燃配方如何設計?

????????不飽和聚酯的氧指數為20.6,為易燃材料,選用六溴苯和三氧化二銻為阻燃劑。六溴苯的分子量為551.49,溴的相對原子質量為 79.9,根據上表數據,x為8,n為6,根據上面公式:

????????即100份材料中所需的六溴苯阻燃劑為9.2份,同理,三氧化二銻需要的量也可以輕松地計算出為2份。怎么樣,這樣一看,阻燃改性配方設計是不是沒有那么難了。

????????當然,以上的配方設計僅僅只是作為阻燃材料開發過程中的一點參考,實際過程中的阻燃配方設計可能比上述過程復雜的多。應用環境的不同對于阻燃劑的選型來說也是一個重要的因素。此外由于樹脂和阻燃劑選擇的不同以及阻燃要求的不同,阻燃劑的添加量也要根據實際要求來設計。


